首页 关于七洲 新闻动态 工程设备 工程技术 工程案例 招聘英才 联系我们  
首页 > 新闻动态  



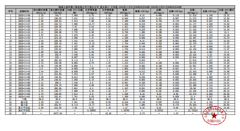
海南七洲环境工程有限公司大理分公司2025年11月月报

来源:本站 发布时间:2025-12-3 8:56:20 浏览次数:0
上一篇: 海南七洲环境工程有限公司大理分          下一篇:海南七洲环境工程有限公司大理分
关于七洲 | 新闻动态 | 工程设备 | 工程技术 | 工程案例 | 招聘英才 | 联系我们

地址:海南省海口市文华路13号兴力国际大厦18层
电话:0898-68570571 68570971 传真:0898-68571062 邮编:570105 琼ICP备09003036号-1

设计制作:伊索网络